Phylodynamics and Genomic Epidemiology of Viral Pathogens

Barney Isaksen Potter

KU Leuven

2025-01-17

Doctoral Defense

PhD goal:

Use phylodynamic tools to characterize epidemics at various time-scales

  • Real-time genomic epidemiology
  • Post hoc phylodynamics
  • Paleogenomic epidemiology
virus causes spread through genome time in humans
SARS-CoV-2 COVID-19 exhaled droplets large +ssRNA since 2019
HBV hepatitis B blood and bodily fluids compact dsDNA over ten thousand years
EIDs
Source: Morens & Fauci (2019)

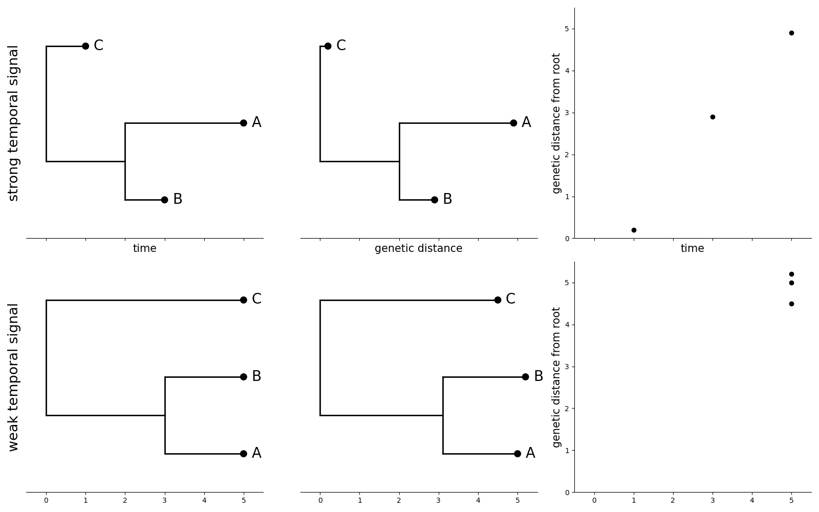
What can this tell us?

  • Topology
  • Evolutionary rate
  • Migration rates
  • Migration history
  • Population size

What can this tell us?

  • Topology
  • Evolutionary rate
  • Migration rates
  • Migration history
  • Population size

What can this tell us?

  • Topology
  • Evolutionary rate
  • Migration rates
  • Migration history
  • Population size

What can this tell us?

  • Topology
  • Evolutionary rate
  • Migration rates
  • Migration history
  • Population size

What can this tell us?

  • Topology
  • Evolutionary rate
  • Migration rates
  • Migration history
  • Population size
treeDiagram

Which tree is better?

tre1
Tree likelihood: a value that quantifies how well a tree describes data under a given model.
Source: Stamatakis & Kozlov (2020)

Problem: parameter space size

\[\tiny \begin{array}{cc} Num.~taxa & Num.~topologies \\ \hline 1 & 1 \\ 2 & 1 \\ 3 & 3 \\ 4 & 15 \\ 5 & 105 \\ 6 & 945 \\ 7 & 10,395 \\ 8 & 135,135 \\ 9 & 2,027,025 \\ \vdots & \vdots \\ 769 & 3.753 \times 10^{2,110} \\ \end{array} \]
likelihood calculation

Bayes' Theorem

\[ P(\theta|\textbf{X}) = \frac{P(\textbf{X} |\theta) \times P(\theta )}{P(\textbf{X})} \]

The posterior probability of a phylogenetic tree, $\tau$:


\[ P(\tau|\textbf{X}) = \frac{P(\textbf{X} |\tau) \times P(\tau )}{P(\textbf{X})} \]

$\tau = $ phylogenetic hyopthesis (tree)

$\textbf{X} =$ genomic sequence data

Likelihood calculation


\[ P(\tau|\textbf{X}) = \frac{\begingroup \color{teal} P(\textbf{X} |\tau) \endgroup \times P(\tau )}{P(\textbf{X})} \] \[ \begingroup \color{teal} L(\tau,\nu,\Theta | x_1 \mathellipsis x_N) \endgroup = \prod_{i=1}^N Pr(x_i | \begingroup \color{darkmagenta} \tau \endgroup , \begingroup \color{darkblue} \nu \endgroup , \begingroup \color{mediumseagreen} \Theta \endgroup) \]

$\begingroup \color{darkmagenta} \tau = \text{tree topology} \endgroup, \begingroup \color{darkblue} \nu = \text{branch lengths} \endgroup, \atop \begingroup \color{mediumseagreen} \Theta = \text{model parameters} \endgroup, i \in \text{sites in genome}$

Prior calculation


\[ P(\tau|\textbf{X}) = \frac{P(\textbf{X} |\tau) \times \begingroup \color{chocolate} P(\tau ) \endgroup}{P(\textbf{X})} \] \[ \begingroup \color{chocolate} P(\tau) \endgroup = \frac{1}{\begingroup \color{crimson} B(s) \endgroup} \]

$\begingroup \color{crimson} B(s) = \text{number of possible topologies} \endgroup$

Marginal term calculation


\[ P(\tau|\textbf{X}) = \frac{P(\textbf{X} |\tau) \times P(\tau )}{\begingroup \color{goldenrod} P(\textbf{X}) \endgroup} \] \[ \begingroup \color{goldenrod} P(\textbf{X}) \endgroup = \sum_{j=1}^{\begingroup \color{crimson} B(s) \endgroup} P(\textbf{X} | \tau_j) \times P(\tau_j) \]

To calculate this we need to sum the density across every possible tree...

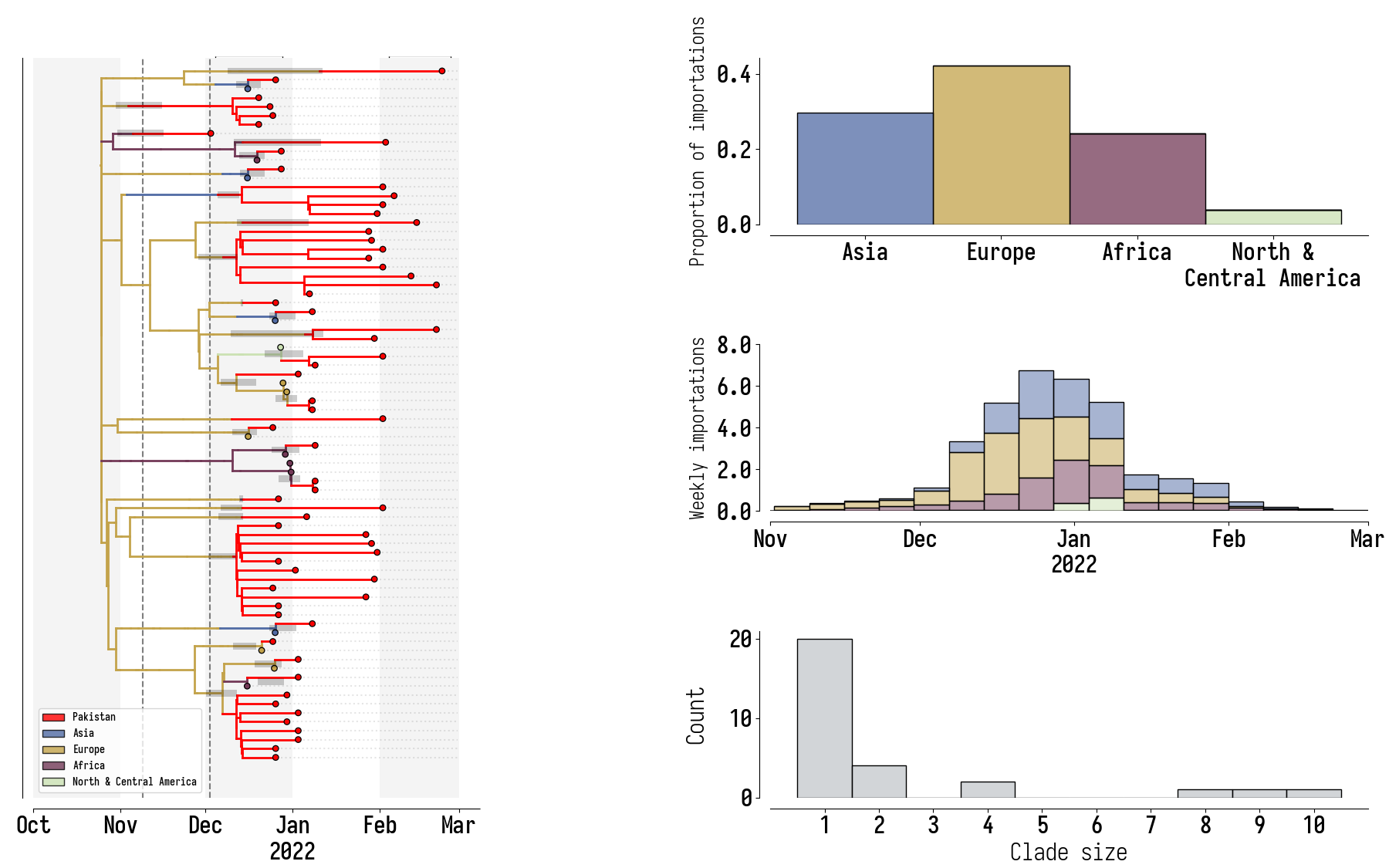
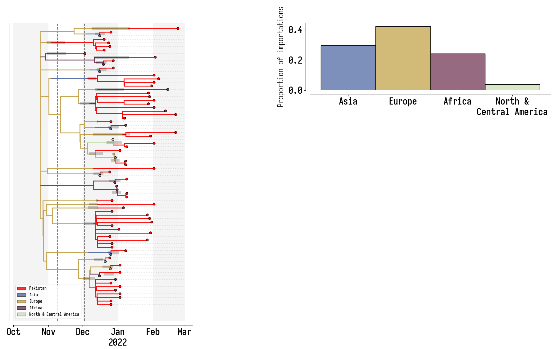
BA.1 in Pakistan

A recent epidemic withing a global pandemic

Driving questions

  1. How does a pathogen initially enter a country and influence local epidemics?
  2. How can we use phylodynamic methods to overcome global disparities in sequencing?

Data in this analysis

  • 1690 global BA.1 genomes
    • 63 from Pakistan
    • 15 with travel-histories
  • 32 discrete geographic areas
    • Pakistan and neighboring countries
    • Regions of China
    • UN Georegions
  • Roughly one third of Pakistan's fifth wave

Breakdown of GISAID sequences by location

Pakistan's Omicron epidemic

alt
alt
alt
alt
alt
alt
alt

Key Takeaways

  • BA.1 was the primary driver of the beginning of Pakistan's Omicron epidemic.
  • Air traffic from Northern Europe caused most importations.
  • Disparities in sequencing made analysis difficult and potentially biased.

Phylogeography of Hepatitis B Virus

A virus that has co-evolved with humans for millennia

This study

  • 133 HBV positive individuals who have recently immigrated from sub-Saharan Africa
  • 118 full genome sequences:
    • 47 HBV-A;
    • 7 HBV-D;
    • 64 HBV-E.
  • Supplemented with all available high quality GenBank HBV genomes
hbv genome
Source: Wikimedia Commons
alt
Source: Kocher et al. (2021)

Estimating evolutionary rate from trees

alt
hbv sampling map
Source: Mülemann et al. (2018)
\[\scriptsize \begin{array}{cccc} \textbf{Sequence} & \textbf{Genotype} & \textbf{Location} & \textbf{Age~(year)} \\ \hline \textrm{Rise386} & \textrm{HBV-A} & \textrm{Russia}^* & 4,114 \textrm{(2100 BCE)} \\ \textrm{Rise387} & \textrm{HBV-A} & \textrm{Russia}^* & 4,278 \textrm{(2264 BCE)} \\ \textrm{DA119} & \textrm{HBV-A} & \textrm{Slovakia} & 1,563 \textrm{(451 CE)} \\ \textrm{DA195} & \textrm{HBV-A} & \textrm{Hungary} & 2,641 \textrm{(627 BCE)} \\ \end{array} \]

Clock rate prior: $1.18 \times 10^{-5}$ [95% HPD: $8.04 \times 10^{-6} \textrm{--} 1.51 \times 10^{-5}$] subs./site/year

Source: Mülemann et al. (2018)

Driving questions

  1. How do human movement patterns shape viral spread?
  2. Do ancient genomes help us to infer the timing of events in the distant past?

Jump counts and support

hbv a markov jumps

Takeaways and next steps

  • Large-scale human movements drives HBV globalization.
  • More global genomic surveillance of HBV is necessary to understand the diversity and potential impact of each genotype.
  • Find more mummies.

Overall conclusions

  • (Bayesian) phylodynamics can help us understand both recent and ancient patterns of viral dispersal.
  • Disparities in sequencing complicate the analysis of epidemics.
  • We need more efficient ways to analyze increasingly large datasets.

ECV-KU Leuven

  • Guy Baele
  • Mandev Gill
  • Philippe Lemey
  • Samuel Hong

Fogarty International Center

  • Nídia Sequeira Trovão

Vilnius University

  • Gytis Dudas
KU Leuven logo ecv logo Fogarty logo nih pk logo baef logo

Rega Institute

  • Mahmoud Reza Pourkarim
  • Marijn Thijssen

NIH Pakistan

  • Massab Umair
  • Zaira Rehman
  • Aamer Ikram
  • Muhammad Salman

Belgian American Education Foundation

HBV-D

hbv d markov jumps